定义

图1 四杆机构的极位夹角

极位夹角
如图1所示为一曲柄摇杆机构,设曲柄AB为原动件,在其转动一周的过程中,有两次与连杆共线,这时摇杆CD分别处于两极限位置CD和CD。机构所处的这两个位置称为极位。机构在两个位置时,原动件AB所在两个位置之间的夹角称为极位夹角。
四杆机构
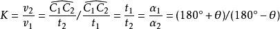
急回运动出现如图1所示,当曲柄以等角速度 顺时针转过时,摇杆将由位置 摆到,其摆角为,设所需时间为,点的平均速度为;当曲柄继续转过时,摇杆又从位置回转到,摆角仍然是,所需的时间是,点的平均速度为。由于曲柄为等角速度转动,而所以有。摇杆这种性质的运动称为急回运动。

极位夹角

极位夹角

极位夹角

极位夹角

极位夹角

极位夹角

极位夹角

极位夹角

极位夹角

极位夹角

极位夹角

极位夹角

极位夹角

极位夹角

极位夹角

极位夹角

极位夹角

极位夹角
急回运动衡量
极位夹角
为了表明急回运动的急回程度,可用行程速度变化系数或称行程系数来衡量,即:急回运动衡量为了表明急回运动的急回程度,可用行程速度变化系数或称行程系数 来衡量,即:
上式表明,当机构存在极位夹角 的时候,机构便具有急回运动特性,角越大,值越大,机构的急回运动性质也越明显。
判断是否存在
判断机构是否存在急回运动:
无急回运动
有急回运动
工程上的应用
机构的急回特性在工程上有三种应用情况:
工作行程要求慢速前进。
对某些颚式破碎机,要求其颚快进慢回使被被破碎的矿石能及时推出颚板,避免矿石的过粉碎(因破碎后的矿石有一定粒度要求)。
一些设备在正、反行程中均在工作,故无急回运动。某些机载搜索雷达的摇头机构就是如此。
机构的设计
在设计时,应先明确行程速度变化系数,求出 角后,再设计各杆的尺寸。

极位夹角

极位夹角

极位夹角

极位夹角
判断是否存在判断机构是否存在急回运动:

极位夹角
(1)无急回运动
极位夹角
(2)有急回运动工程上的应用机构的急回特性在工程上有三种应用情况:
(1)工作行程要求慢速前进,以利切削、冲压等工作的进行,而回程时为节省空间时间,则要求快速扳回,如牛头刨床、插床等就是如此,这是常见的情况。
(2)对某些颚式破碎机,要求其颚快进慢回,使以被破碎的矿石能及时推出颚板,避免矿石的过粉碎(因破碎后的矿石有一定粒度要求)。
(3)一些设备在正、反行程中均在工作,故无急回运动。某些机载搜索雷达的摇头机构就是如此。
机构的设计
极位夹角

极位夹角
在设计时,应先明确行程速度变化系数,求出角后,再设计各杆的尺寸。

极位夹角
曲柄摇杆机构
按给定的行程速比系数设计
在设计需要有急回特性的四杆机构时,常按实际要求先给定行程速比系数K,再根据机构在极限位置的几何关系及有关辅助条件,设计出机构各构件的位置和尺寸。
已知:如图2所不,摇杆长度CD,摇杆摆角,行程速比系数。求:确定铰链A的位置,并定出A、BC、AD三杆长度。图2按K设计曲柄摇杆机构
如图2所示,任选一点,由已知 杆长和摆角 画出其两极限位置并得到、铰链点。连接 再作。由已知的 代入式 计算出极位夹角。作。与 交于 点。由 三个内角之和为180°可知, 。作 的外接圆,在除 和 圆弧的圆弧上任选一点 作为固定铰链点。连接 和 得夹角 (同一圆周角相等)。因两极限位置处曲柄 和连杆 共线,故可得 在 的延长线上,在 线之间。先初取、点并使 和 相等。由其几何关系应得, ,于是得到曲柄。再以 为圆心 为半径作圆,交 的延长线于正式取得的 点,交至于于正式取得的 点。
因A点是在外接圆上任取的一点,故此题的结果可有无穷多。如果要取得良好的传动质量,可再按照最小传动角最优或其他辅助条件来最终确定A的位置。

图2 按K设计曲柄摇杆机构

极位夹角

极位夹角
已知:如图2所示,摇杆长度CD,摇杆摆角,行程速比系数。求:确定铰链A的位置,并定出A、BC、AD三杆长度。
导杆机构
按给定的行程数比设计

图3 按K设计导杆机构

极位夹角

极位夹角

极位夹角

极位夹角

极位夹角

极位夹角

极位夹角

极位夹角

极位夹角

极位夹角

极位夹角

极位夹角

极位夹角

极位夹角

极位夹角

极位夹角

极位夹角

极位夹角

极位夹角

极位夹角

极位夹角

极位夹角

极位夹角

极位夹角
已知:如图3所示,机架长度AC,行程速比系数。求:AB杆长度。由已知的代人式中计算出极位夹角。在四边形中,因和恒为直角,故和导杆摆角均与互补,故驴。现任选一点作固定铰链,以摆角作出导杆的两个极限位置和。作的角平分线,并取点使等于已知的机架长度。再过点作导杆两极限位置和的垂线,分别交于、点。于是得到,或即为曲柄的长度。